Given the root of a binary search tree, and an integer k, return the kth smallest value (1-indexed) of all the values of the nodes in the tree.
Example 1:
Input: root = [3,1,4,null,2], k = 1
Output: 1
Example 2:
Input: root = [5,3,6,2,4,null,null,1], k = 3
Output: 3
Constraints:
- The number of nodes in the tree is
n. 1 <= k <= n <= 1040 <= Node.val <= 104
Follow up: If the BST is modified often (i.e., we can do insert and delete operations) and you need to find the kth smallest frequently, how would you optimize?
給定一個二元搜尋樹的根結點 root 還有一個數字正整數 k
要求寫一個演算法找出排序由小至大第 k 個元素
在二元搜尋要找出第 k 小的元素
需要知道二元搜尋樹特性
給定一個二元搜尋樹根結點 root 具有以下特性:
- 所有 root.Left 所形成的樹的結點值都小於 root.Val
- 所有 root.Right 所形成的樹的結點值都大於 root.Val
所以只要使用 In-order Traversal 順序找到第 k 個元素就是第 k 個小的元素
In-Order Traversal 搜尋順序如下: In-Order-Traversal(root.Left), root, In-Order-Traversal(root.Right)
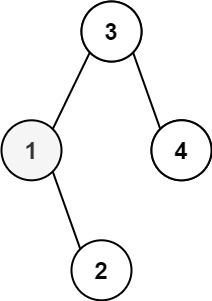
如下圖:
會發現一定要走到最後一個 Left Leave 才開始計算順位
所以時間複雜度是 O(H+k), 其中 H 是二元搜尋樹的高度
H的值在結點很偏一邊是 N-1, 最好的狀況是 logN
題目問如說如過可以改變 BST 的結構在 insert 跟 delete 時做修改
這樣是否有辦法優化搜尋 第 k 順位的點的時間複雜度
假設除了BST 本身之外另外透過雙向連結的結構來儲存由大到小的順序
多了一個指向最大 還有最小的指標
- 每次 insert 都找 BST 中插入的點位置,時間複雜度 O(logN)
- 每次 delete 都找 BST 中刪除的點位置,時間複雜度 O(logN)
- 因為有雙向鏈結每次搜尋第 k 順為 O(k)
- 空間複雜度多存雙向鏈結是 O(N)
class Solution {
/**
* Definition for a binary tree node.
* public class TreeNode {
* int val;
* TreeNode left;
* TreeNode right;
* TreeNode() {}
* TreeNode(int val) { this.val = val; }
* TreeNode(int val, TreeNode left, TreeNode right) {
* this.val = val;
* this.left = left;
* this.right = right;
* }
* }
*/
public int kthSmallest(TreeNode root, int k) {
ArrayList<Integer> result = inorder(root, new ArrayList<>(), k);
return result.get(result.size()-1);
}
public ArrayList<Integer> inorder(TreeNode root, ArrayList<Integer> arr, int k) {
if (root == null) {
return arr;
}
inorder(root.left, arr, k);
if (arr.size() == k) {
return arr;
}
arr.add(root.val);
if (arr.size() == k) {
return arr;
}
return inorder(root.right, arr, k);
}
public int kthSmallestV1(TreeNode root, int k) {
LinkedList<TreeNode> stack = new LinkedList<>();
while(true) {
// 1. push left node first
// if root not null
while(root != null) {
stack.push(root);
root = root.left;
}
// if root == null
// 2. pop and find right node
root = stack.pop();
k--;
if (k == 0) {
return root.val;
}
root = root.right;
}
}
}- 理解 二元搜尋樹特性
- 理解 in-order traversal 特性
- Understand What problem need to solve
- Analysis Complexity



